LEMON Manuals: Even more car manuals for everyone: 1960-2025
Home >> Mazda >> 2004 >> MPV ES >> Repair and Diagnosis >> Electrical >> Horns >> Instrumentation/Driver Info >> Instrument Cluster Input/Output Check Mode >> Operating Order
April 5, 2026: LEMON Manuals is launched! Read the announcement.

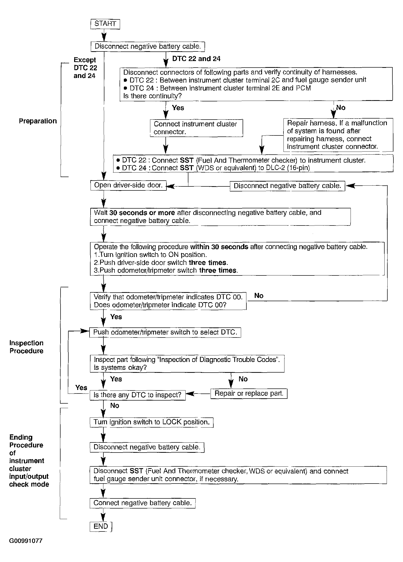
Operating Order

Fig 1: Operating Order Diagram
G00991077Courtesy of MAZDA MOTORS CORP.