LEMON Manuals: Even more car manuals for everyone: 1960-2025
Home >> Mazda >> 2006 >> MX-5 Miata Base >> Repair and Diagnosis (Single Page) >> Electrical >> Horns >> Instrumentation/Driver Info >> Instrument Cluster Input/Output Check Mode >> Check Code Table >> Notes
April 5, 2026: LEMON Manuals is launched! Read the announcement.

Check Code Table: Notes

INSTRUMENT CLUSTER INPUT/OUTPUT CHECK CODE TABLE

Check code Check item Related items
01 SAS control module Seat belt warning alarm
04 Door switch
  • Lights-on reminder warning alarm
  • Key reminder warning alarm
08 TNS relay
  • Lights-on reminder warning alarm
  • Each illumination light
12 Speedometer Speedometer
13 Tachometer Tachometer
14 Buzzer Buzzer
16 Fuel-level warning light Fuel-level warning light
18 Ignition key illumination Ignition key illumination
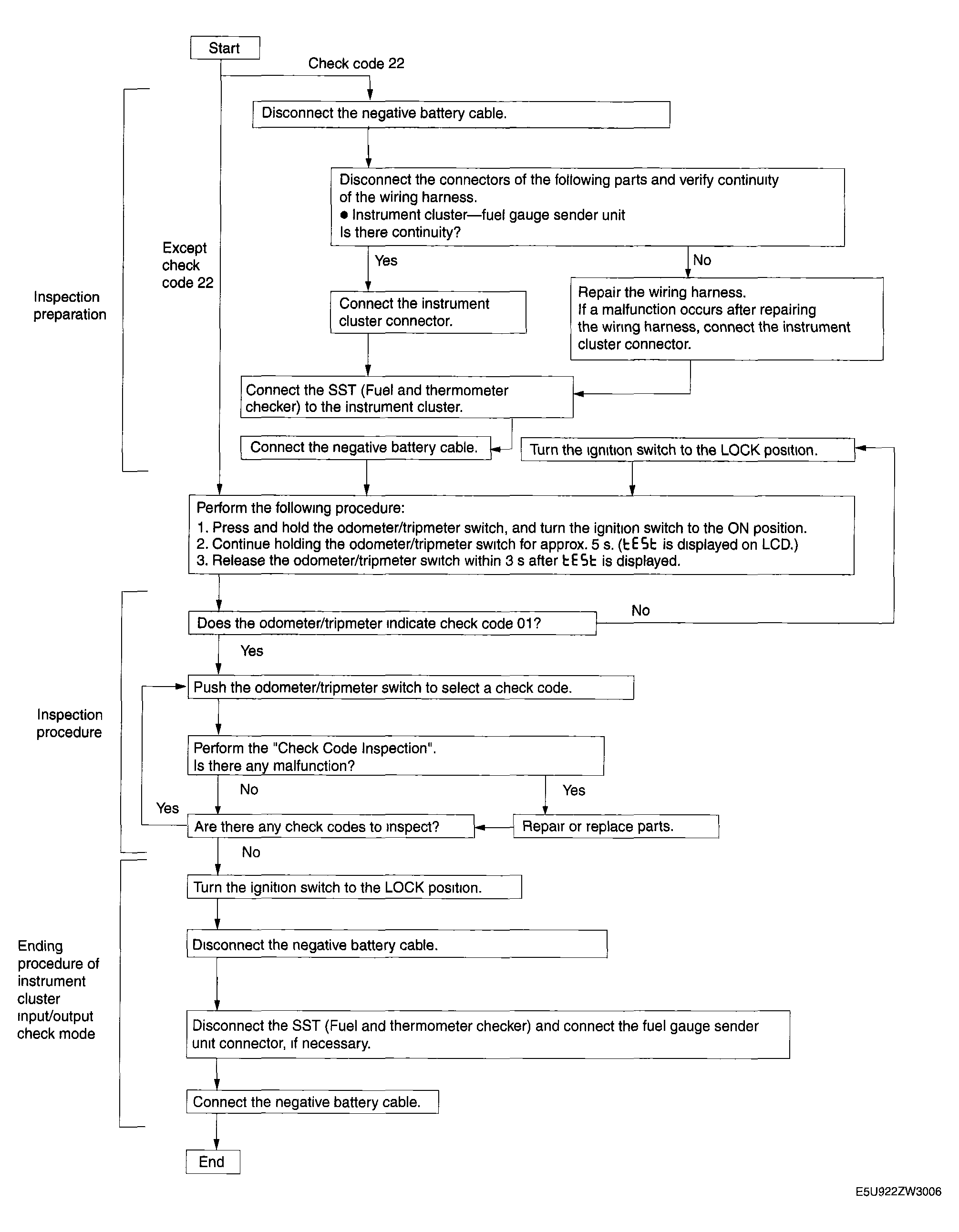
22 Fuel gauge sender unit Fuel gauge
23 Fuel gauge Fuel gauge
25 Water temperature gauge Water temperature gauge
26
  • Odometer/tripmeter (LCD)
  • Warning and indicator light
  • Odometer/tripmeter (LCD)
  • Warning and indicator light
28 Oil pressure gauge Oil pressure gauge
31 Key reminder switch Key reminder warning alarm
57 Panel light control Illumination light bulb
59
  • CAN system
  • Fuel gauge sender unit
  • CAN system
  • Fuel system
NOTE:
  • Check codes which are not listed may be indicated, but they cannot be inspected.
  • The check codes are displayed in numerical order. (While performing the inspection, if you want to inspect a check code with a number smaller than the code number you are currently inspecting, terminate the check mode then repeat the inspection from the beginning.)
  • If a speed signal is input to the instrument cluster (the wheels are rotated), the input/output check mode will be cancelled.
  • The check codes can be fast-forwarded by pushing and holding the odometer/tripmeter switch for 1 s or more. 
Fig 1: Identifying Instrument/Driver Check Code Diag. Flow Diagram
G04323825Courtesy of MAZDA MOTORS CORP.