LEMON Manuals: Even more car manuals for everyone: 1960-2025
Home >> Mazda >> 2009 >> 6 s Sport >> Repair and Diagnosis >> Body & Frame >> Windows >> Glass/Windows/Mirrors >> Power Window System Customized Function Setting Procedure >> Door Glass Position Change
April 5, 2026: LEMON Manuals is launched! Read the announcement.

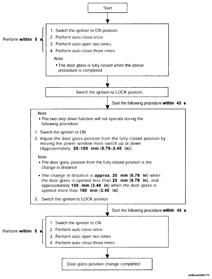
Door Glass Position Change

NOTE:
  • After performing the following procedure, verify that the two-step down function operates normally and the door glass position has changed. If the two-step down function does not operate or the door glass position has not changed, the procedure was not performed properly. Repeat the procedure from the beginning.
Fig 1: Door Glass Position Change Procedure Flow Chart
G06200727Courtesy of MAZDA MOTORS CORP.
Mazda Modular Diagnostic System (M-MDS) display Function Initial Setting Setting Content Control Unit
- Two-step down function can be set to inoperable. Enabled Disabled/Enabled Power window main switch