LEMON Manuals: Even more car manuals for everyone: 1960-2025
Home >> Mazda >> 2012 >> 6 s Touring Plus >> Repair and Diagnosis >> External Pages >> Different car >> Section 584 (Security System And Locks System) >> Transmitter Id Code Registration [Keyless Entry System]
April 5, 2026: LEMON Manuals is launched! Read the announcement.

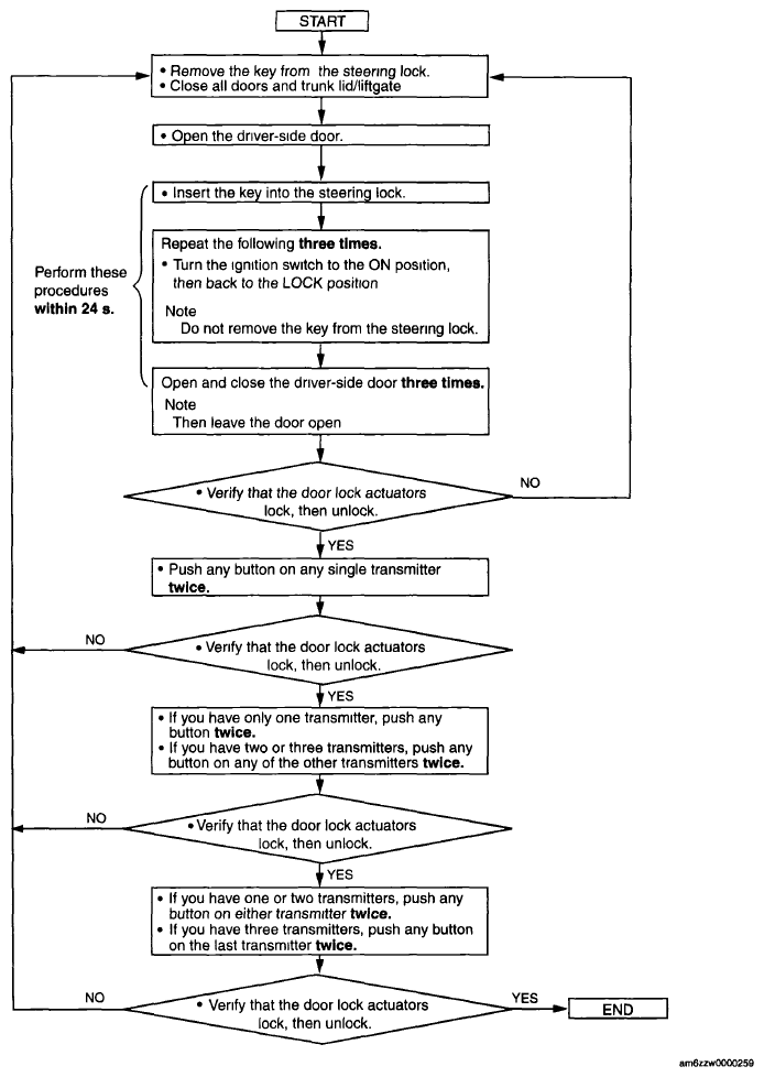
Transmitter Id Code Registration [Keyless Entry System]

WARNING: This page is about a different car, the 2009 Mazda 6. However, it is still accessible from the selected car via links, so may be relevant.
NOTE:
  • Verify that the other transmitter is not being operated around the servicing area while updating the ID code.
  • After completing the work, remove the key from the steering lock and verify that all the door lock/unlock operation using the transmitter is correct.
Fig 1: Transmitter ID Code Registration Flowchart
G06200956Courtesy of MAZDA MOTORS CORP.