LEMON Manuals: Even more car manuals for everyone: 1960-2025
Home >> Mazda >> 2014 >> 3 SV, Automatic Trans >> Repair and Diagnosis >> Brakes >> Traction Control >> Symptom Troubleshooting - Dynamic Stability Control System >> Foreword >> Troubleshooting Procedure
April 5, 2026: LEMON Manuals is launched! Read the announcement.

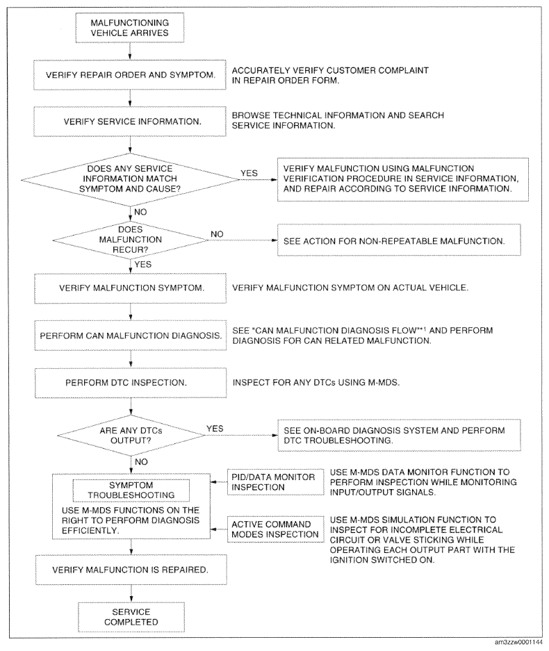
Troubleshooting Procedure

Fig 1: Troubleshooting Procedure Chart
G09783049Courtesy of MAZDA MOTORS CORP.

*1: Refer to MULTIPLEX COMMUNICATION SYSTEM. (See CONTROLLER AREA NETWORK (CAN) MALFUNCTION DIAGNOSIS FLOW .)