LEMON Manuals: Even more car manuals for everyone: 1960-2025
Home >> Mazda >> 2018 >> 6 Signature >> Repair and Diagnosis >> Accessories & Equipment >> Drivers Assistance Systems - ADAS >> On-Board Diagnostic - Blind Spot Monitoring Control Module >> Forward (Blind Spot Monitoring (BSM) Control Module) >> Troubleshooting Procedure
April 5, 2026: LEMON Manuals is launched! Read the announcement.

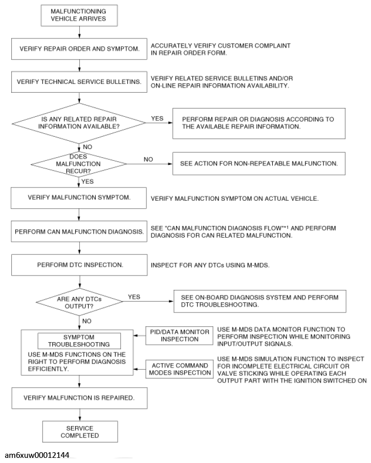
Troubleshooting Procedure

Fig 1: Blind Spot Monitoring Control Module Troubleshooting Chart
G12236668Courtesy of MAZDA MOTORS CORP.

*1: (See CONTROLLER AREA NETWORK (CAN) MALFUNCTION DIAGNOSIS FLOW [SKYACTIV-G 2.5T] .) (See CONTROLLER AREA NETWORK (CAN) MALFUNCTION DIAGNOSIS FLOW [SKYACTIV-G 2.5] .)