LEMON Manuals: Even more car manuals for everyone: 1960-2025
Home >> Mazda >> 2020 >> 6 Signature >> Repair and Diagnosis (Single Page) >> Accessories & Equipment >> Memory Modules >> On-Board Diagnostics - Position Memory Control Module >> Forward (Position Memory Control Module) >> Troubleshooting Procedure
April 5, 2026: LEMON Manuals is launched! Read the announcement.

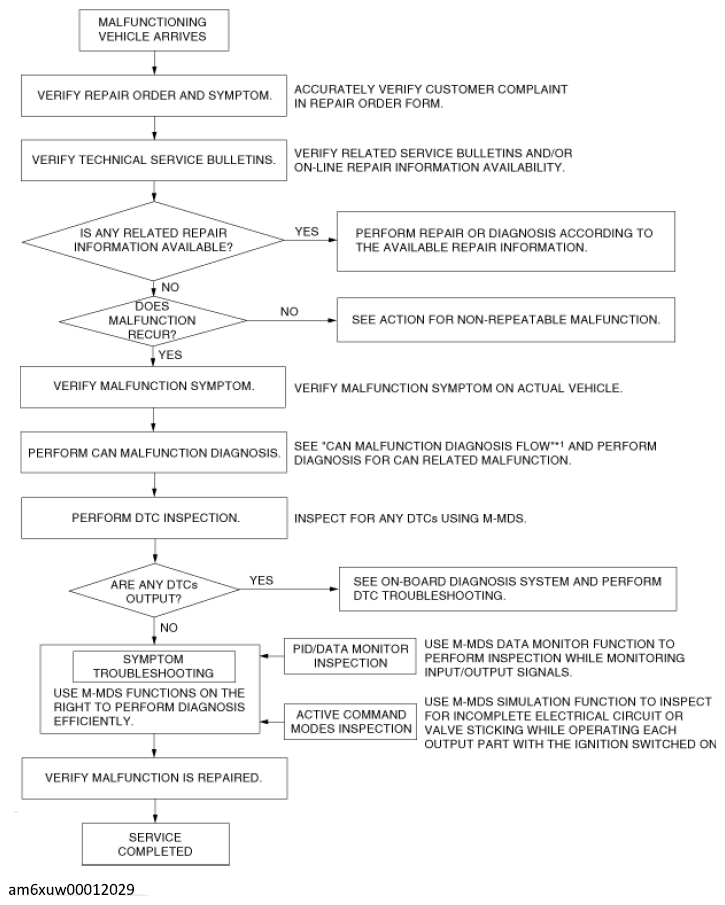
Troubleshooting Procedure

Fig 1: Position Memory Control Module Troubleshooting Procedure Chart
G12235888Courtesy of MAZDA MOTORS CORP.

*1: (See CONTROLLER AREA NETWORK (CAN) MALFUNCTION DIAGNOSIS FLOW [SKYACTIV-G 2.5T] .) (See CONTROLLER AREA NETWORK (CAN) MALFUNCTION DIAGNOSIS FLOW [SKYACTIV-G 2.5] .)