LEMON Manuals: Even more car manuals for everyone: 1960-2025
Home >> Mazda >> 2021 >> CX-5 Signature >> Repair and Diagnosis >> External Pages >> Different car >> Section 124 (On-Board Diagnostic - Blind Spot Monitoring Control Module) >> Foreword [Blind Spot Monitoring (BSM) Control Module] >> Troubleshooting Procedure
April 5, 2026: LEMON Manuals is launched! Read the announcement.

Troubleshooting Procedure

WARNING: This page is about a different car, the 2017 Mazda CX-5. However, it is still accessible from the selected car via links, so may be relevant.
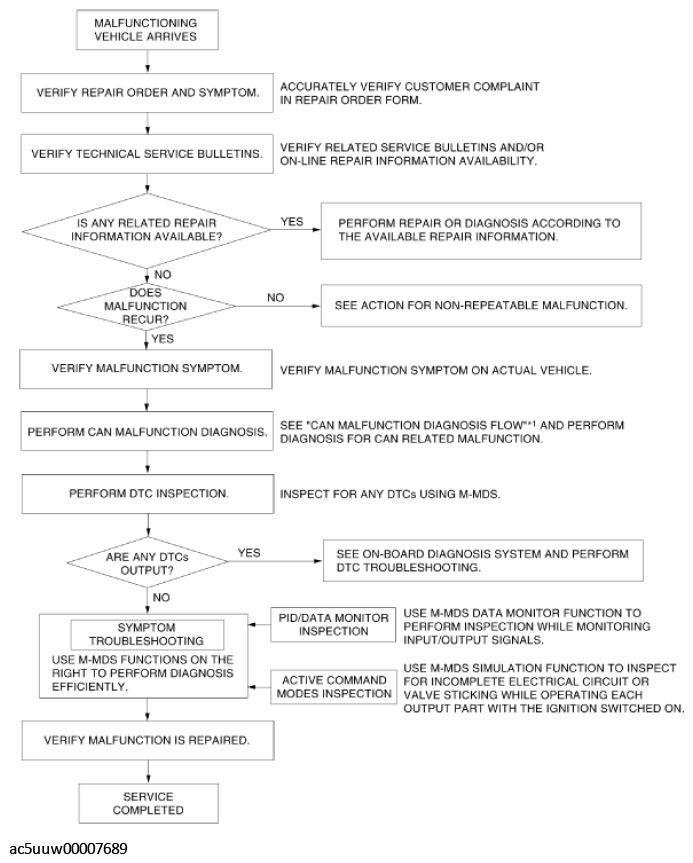
Fig 1: Vehicle Malfunction Complaint By Customer - Troubleshooting Flowchart
G11432116Courtesy of MAZDA MOTORS CORP.

*1: (See CONTROLLER AREA NETWORK (CAN) MALFUNCTION DIAGNOSIS FLOW .)