LEMON Manuals: Even more car manuals for everyone: 1960-2025
Home >> Mazda >> 2021 >> CX-5 Signature >> Repair and Diagnosis >> External Pages >> Different car >> Section 209 (Lighting System) >> Lighting System Personalization Features Setting Procedure >> Daytime Running Light (DRL) System (Except Canada) >> Using light switch
April 5, 2026: LEMON Manuals is launched! Read the announcement.

Using light switch

WARNING: This page is about a different car, the 2017 Mazda 3. However, it is still accessible from the selected car via links, so may be relevant.
Function Initial setting Setting contents Control module
The daytime running light (DRL) system function can be set. On (daytime running light (DRL) illumination) Off (daytime running light (DRL) non-illumination)/On (daytime running light (DRL) illumination) Front body control module (FBCM)
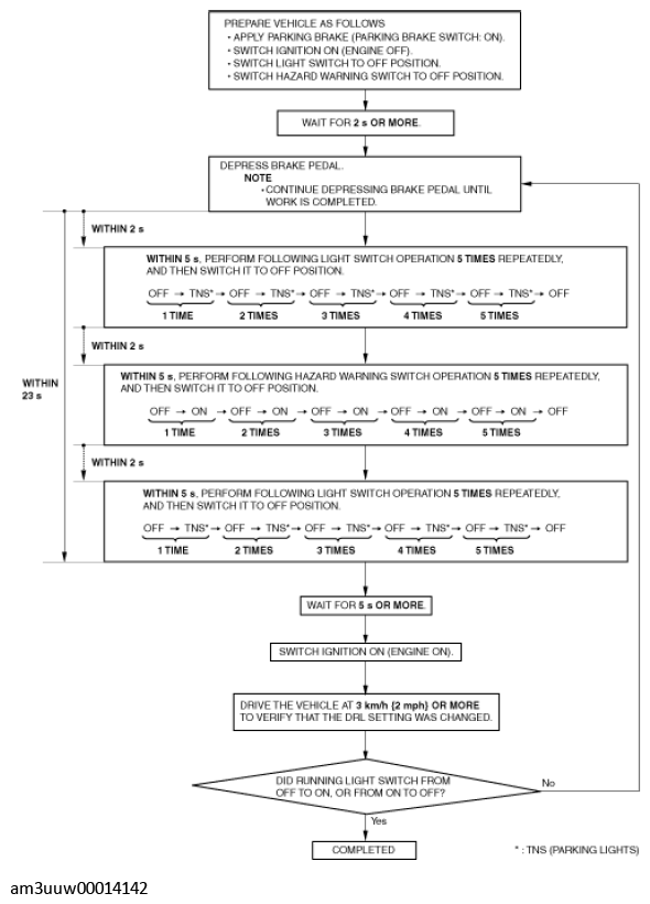
NOTE:
  • Because each procedure needs to be completed within a predetermined period of time, refer to the following procedure before performing the set up work, and then verify the content of the work and the time limit.
Fig 1: Lighting System Personalization Features Setting Procedure Chart
G11449581Courtesy of MAZDA MOTORS CORP.