LEMON Manuals: Even more car manuals for everyone: 1960-2025
Home >> Mercury >> 2001 >> Sable V6-3.0L VIN U >> Repair and Diagnosis >> Powertrain Management >> Computers and Control Systems >> Testing and Inspection >> Scan Tool Testing and Procedures >> Normal Scan Data Values - Includes PIDs >> Typical Diagnostic Reference Values >> Typical Diagnostic Reference Values Notes
April 5, 2026: LEMON Manuals is launched! Read the announcement.

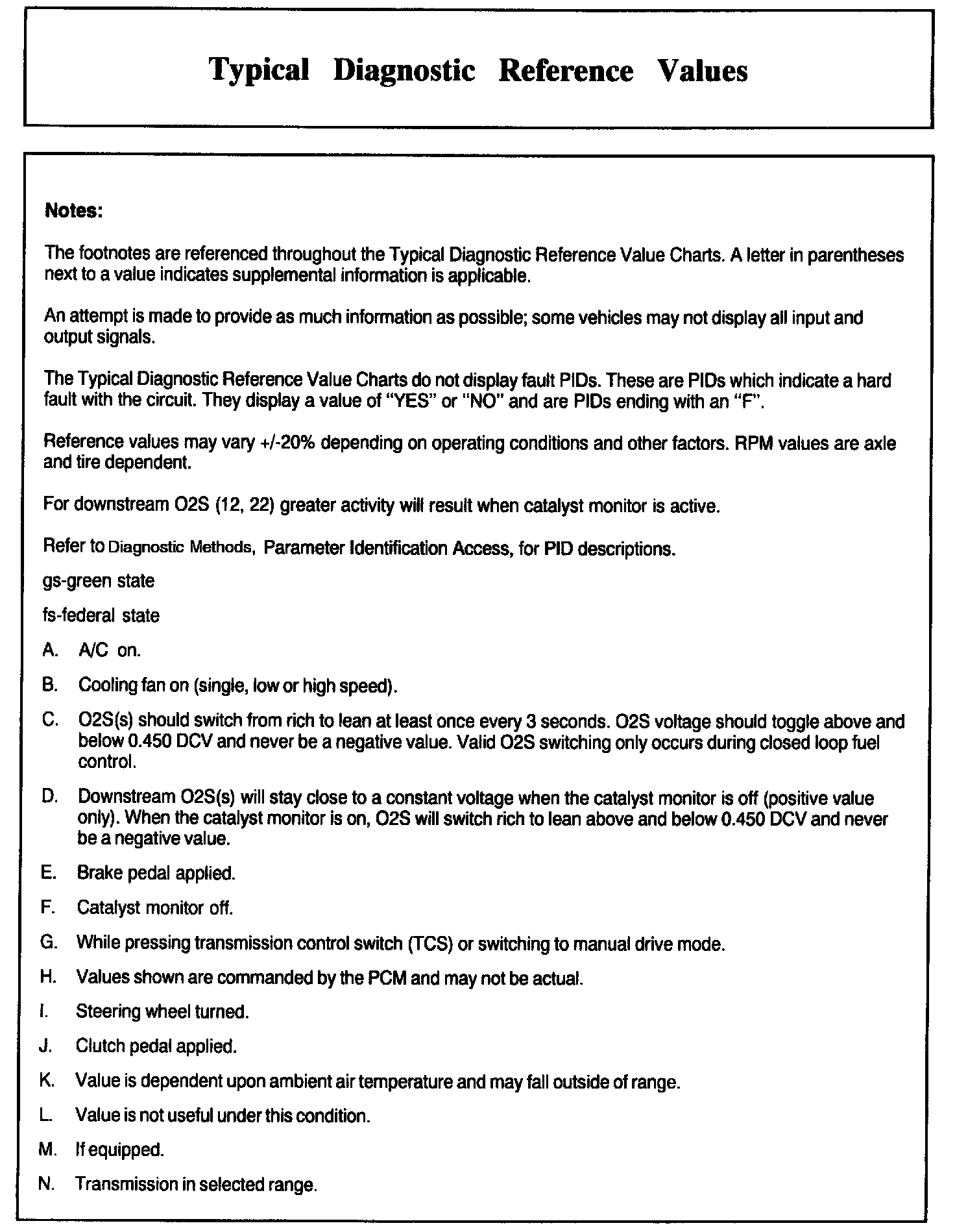
Typical Diagnostic Reference Values Notes

Typical Diagnostic Reference Values, Part 1:



Typical Diagnostic Reference Values, Part 2: