LEMON Manuals: Even more car manuals for everyone: 1960-2025
Home >> Nissan-Datsun >> 2024 >> Rogue SL, AWD >> Repair and Diagnosis >> Engine Performance >> Engine Control Systems >> Drive Mode System >> Basic Inspection >> Diagnosis And Repair Work Flow >> Work Flow
April 5, 2026: LEMON Manuals is launched! Read the announcement.

Work Flow

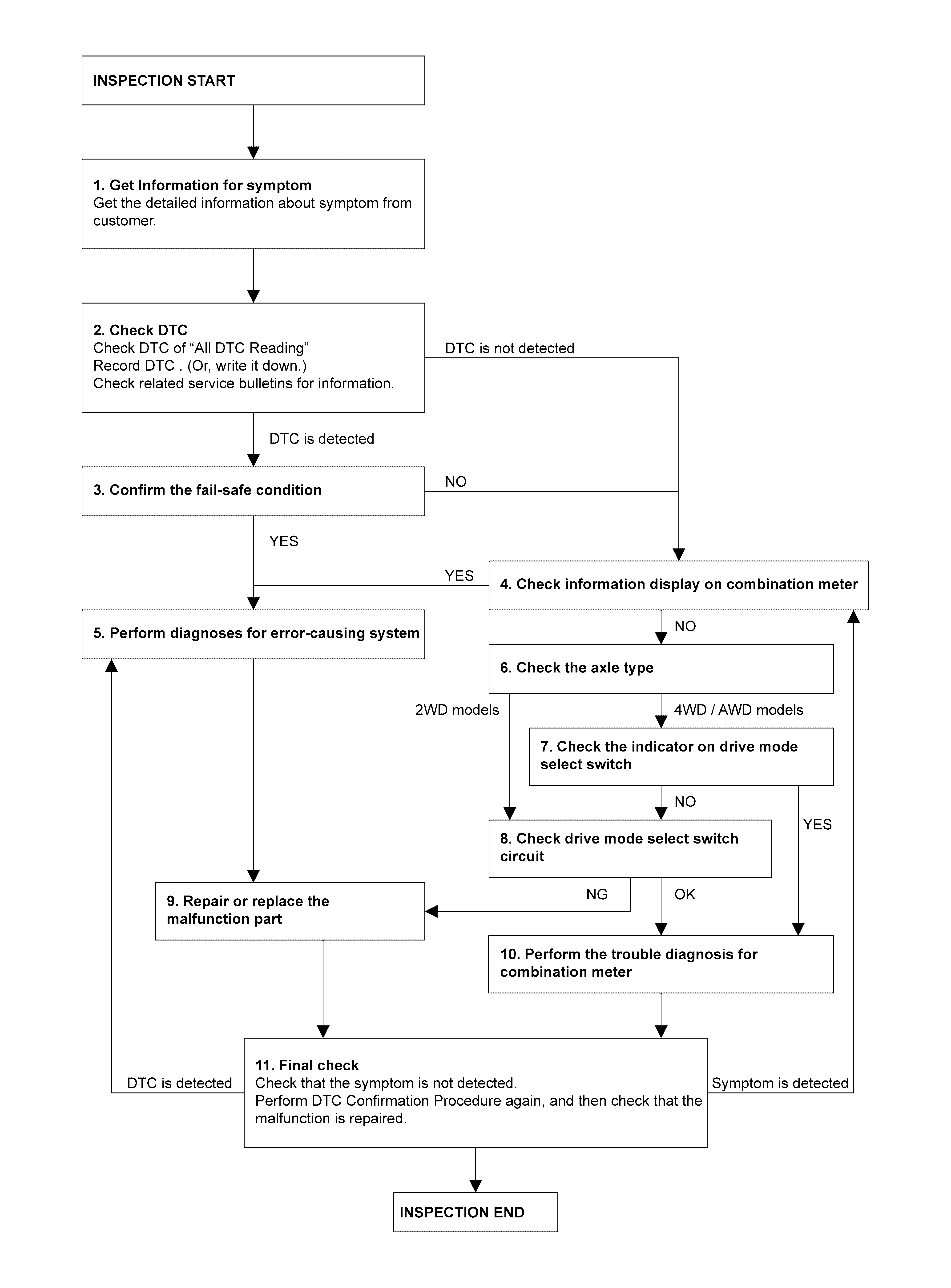
OVERALL SEQUENCE 

GNSDB131572Courtesy of NISSAN NORTH AMERICA, INC.

DETAILED FLOW 

  1. GET INFORMATION FOR SYMPTOM 
    1. Get the detailed information about symptom from customer.
    2. Check the drive mode indicator on the meter appeared.
    3. Check the Drive mode indicator on the meter changed when operates the drive mode select switch.

    >>

    GO TO 2.

  2. CHECK THE DTC 

    SYMBOL With CONSULT

    1. Check DTC of "All self diagnosis result".
    2. Perform the following procedure if DTC is displayed.
      • Record DTC and freeze frame data. (Or, write it down.)
    3. Check related service bulletins for information.

    Are any DTCs detected?

    YES>>

    GO TO 3.

    NO>>

    GO TO 4.

  3. CONFIRM THE FAIL-SAFE CONDITION 

    Confirm the fail-safe condition of detected DTC. Refer to Fail-safe . Are there any DTCs that causes drive mode selector function is suspended?

    YES>>

    GO TO 5.

    NO>>

    GO TO 4.

  4. CHECK INFORMATION DISPLAY ON COMBINATION METER 
    1. Ignition switch OFF and wait at least 10 seconds.
    2. Ignition switch ON.
    3. Check that STANDARD is displayed on the information display screen of the combination meter. (2WD models)
    4. Check that AUTO is displayed on the information display screen of the combination meter. (AWD models)
    5. Check that the view of information display change when switching up and down the drive mode select switch. (2WD models)
    6. Check that the view of information display change when switching left and right the drive mode select switch. (AWD models)

    Is the inspection result normal?

    YES>>

    GO TO 5.

    NO>>

    GO TO 6

    .

  5. PERFORM DIAGNOSES FOR ERROR-CAUSING SYSTEM 

    SYMBOL With CONSULT Perform the trouble diagnosis of components that DTC indicated.

    >>

    GO TO 9

    .

  6. CHECK THE AXLE TYPE 

    Check the axle type.

    2WD models>>

    GO TO 8

    .

    AWD models>>

    GO TO 7

    .

  7. CHECK THE INDICATOR ON DRIVE MODE SELECT SWITCH (AWD MODELS) 
    1. Ignition switch OFF and wait at least 10 seconds.
    2. Ignition switch ON.
    3. Check the indicator of AUTO on drive mode select switch indicator.
    4. Check the illuminated position changes according to the operation when switching the drive mode select switch.

    Is the inspection result normal?

    YES>>

    GO TO 10

    .

    NO>>

    GO TO 8

    .

  8. CHECK DRIVE MODE SELECT SWITCH CIRCUIT 

    Check drive mode select switch circuit. Refer to Diagnosis Procedure . Is the inspection result normal?

    YES>>

    GO TO 10

    .

    NO>>

    GO TO 9

    .

  9. REPAIR OR REPLACE THE MALFUNCTION PART 

    Repair or replace the malfunctioning part.

    >>

    GO TO 11

    .

  10. CHECK COMBINATION METER 

    Check the COMBINATION METER.

    >>

    GO TO 11

    .

  11. FINAL CHECK 
    1. Check that the symptom is not detected.
    2. Perform DTC Confirmation Procedure again, and then check that the malfunction is repaired.

    Is DTC detected and/or does symptom remain?

    YES (DTC is detected)>>

    GO TO 5.

    YES (Symptom remains)>>

    GO TO 4.

    NO>>

    INSPECTION END