LEMON Manuals: Even more car manuals for everyone: 1960-2025
Home >> Oldsmobile >> 1991 >> Toronado Base >> Repair and Diagnosis >> Engine Performance >> System >> Engine Controls - Tests W/Codes - Pcm/BCM >> BCM Trouble Code Charts >> Code B121, Twilight Enable Switch Circuit >> Note On Intermittents
April 5, 2026: LEMON Manuals is launched! Read the announcement.

Note On Intermittents

If an intermittent Code B121 is being set, manipulate related wiring. When BCM BI82 displays change-of-state, an "X" will be indicated. Check circuit for an intermittent open or short.

Fig 1: Code B121, Schematic, Twilight Enable Switch Circuit
G91A11908
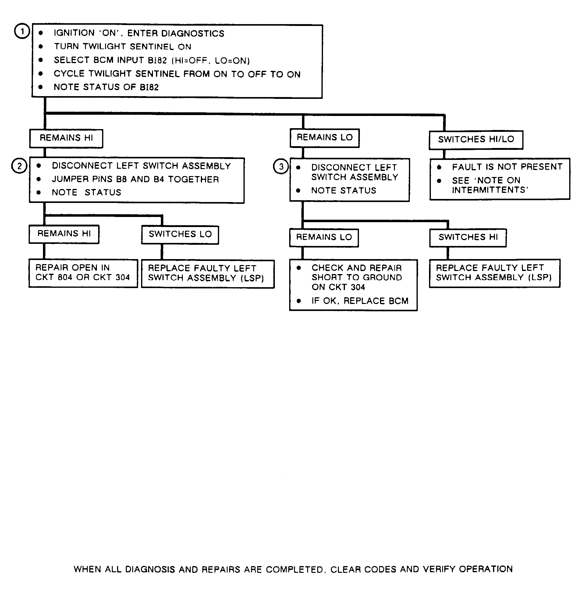
Fig 2: Flow Chart, Code B121, Twilight Enable Switch Circuit
G91G11912
Fig 3: Twilight Sentinel Test Flow Chart
GB0022678