LEMON Manuals: Even more car manuals for everyone: 1960-2025
Home >> Pontiac >> 2010 >> G6 L4-2.4L >> Repair and Diagnosis >> Specifications >> Electrical Specifications >> Computers and Control Systems >> Temperature Versus Resistance
April 5, 2026: LEMON Manuals is launched! Read the announcement.

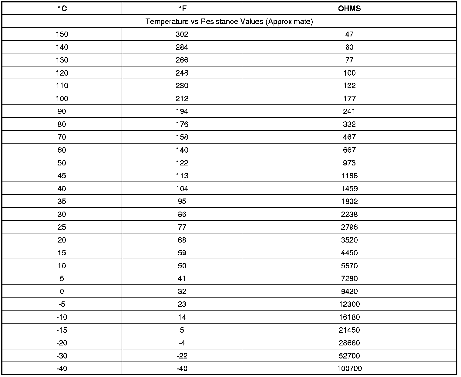
Temperature Versus Resistance




Temperature Versus Resistance