LEMON Manuals: Even more car manuals for everyone: 1960-2025
Home >> Saturn >> 2002 >> L100 L4-2.2L VIN F >> Repair and Diagnosis >> Powertrain Management >> Computers and Control Systems >> Relays and Modules - Computers and Control Systems >> Engine Control Module >> Technical Service Bulletins >> Cruise Control/Wiring/PCM - Manual Update
April 5, 2026: LEMON Manuals is launched! Read the announcement.

Cruise Control/Wiring/PCM - Manual Update

BULLETIN NO.: 01-T-50

ISSUE DATE: October, 2001

CATEGORY TYPE: Electrical-08

CATEGORY: Wiring

CORPORATION NO.: 01-08-45-004

SUBJECT:
Service Manual Update for 2002 L-Series (L61) Engine Service Manuals and 2002 L-Series Body/Electrical Volume II Service Manuals

MODELS AFFECTED:
2002 Saturn L-Series vehicles equipped with 4 cylinder (RPO L61) engines

PURPOSE:
The purpose of this bulletin is to update the "Cruise Control Harness Connector Face Views" in the Cruise Control section and "Powertrain Control Module (PCM) Connector Face Views" in the Engine/Emissions section of the 2002 L-Series (L61) Engine Service Manuals.

Also updated is "Harness Connector Faces" in the Wiring section of the 2002 Body/Electrical Volume II Service Manual.

Please obtain all 2002 L-Series (L61) Engine Service Manuals and 2002 Body/Electrical Volume II Service Manuals at your location and make the necessary updates as indicated below.

1. Make additional photocopies of the manual update pages 3 through 11 as necessary.

2. In 2002 L-Series (L61) Engine Service Manual,

^ Cross out page 119 "Powertrain Control Module (PCM) Connector Face Views" illustration with marker or pen.

^ Cross out page 785 "Cruise Control Harness Connector Face Views" illustration with marker or pen.








^ Insert photocopy of page 3 as shown in place of page 119. Insert photocopy of page 4 as shown in place of page 785.

3. In 2002 L-Series Body/Electrical Volume 11 Service Manual,

^ Cross out pages 694 and 695 "Harness Connector Faces Powertrain Control Module (PCM) J1 (L61)" chart with marker or pen.

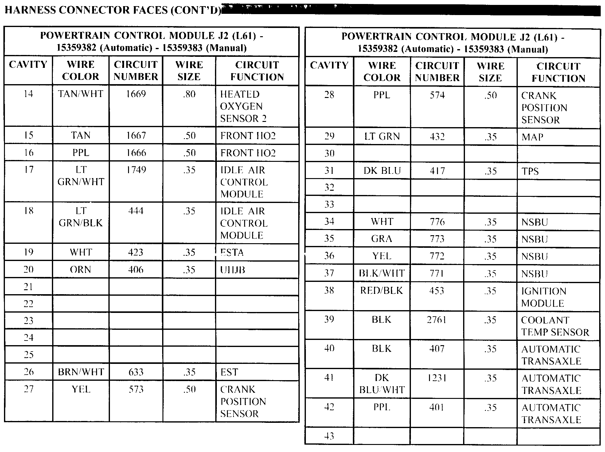
^ Cross out page 696 through 698 "Harness Connector Faces Powertrain Control Module (PCM) J2 (L61)" chart with marker or pen.




















^ Insert photocopy of pages 5 through 7 as shown in place of pages 694 and 695. Insert photocopy of pages 8 through 10 as shown place of pages 696 through 698.





DISCLAIMER