LEMON Manuals: Even more car manuals for everyone: 1960-2025
Home >> Saturn >> 2003 >> VUE L4-2.2L VIN D >> Repair and Diagnosis >> Testing and Inspection >> Programming and Relearning >> PASSLOCK - Relearn Procedure
April 5, 2026: LEMON Manuals is launched! Read the announcement.

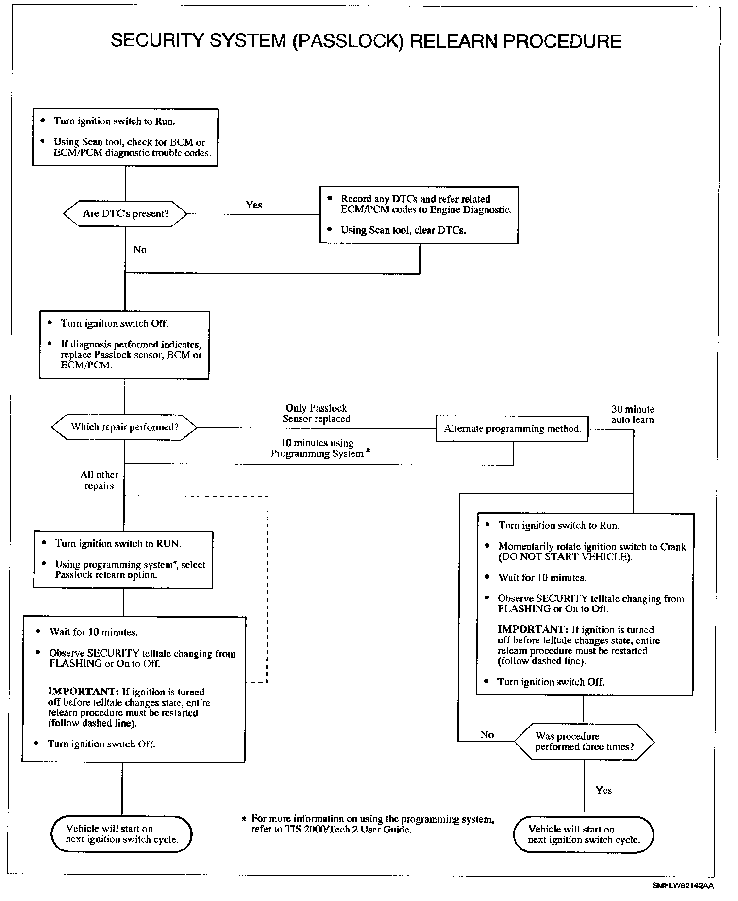
PASSLOCK - Relearn Procedure

Diagnostic Chart: