LEMON Manuals: Even more car manuals for everyone: 1960-2025
Home >> Saturn >> 2004 >> L Series L4-2.2L VIN F >> Repair and Diagnosis >> Body and Frame >> Body Control Systems >> Testing and Inspection >> Scan Tool Testing and Procedures >> Scan Tool Data List - Switch Inputs
April 5, 2026: LEMON Manuals is launched! Read the announcement.

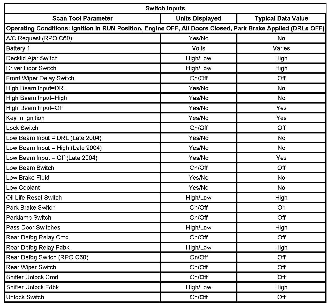
Scan Tool Data List - Switch Inputs

Switch Inputs: