LEMON Manuals: Even more car manuals for everyone: 1960-2025
Home >> Toyota >> 2001 >> Prius >> Repair and Diagnosis >> Body & Frame >> Power Windows >> Trouble Shooting >> Notes
April 5, 2026: LEMON Manuals is launched! Read the announcement.

Trouble Shooting: Notes

NOTE: Troubleshooting procedures for Camry, Camry Solara, Celica, Corolla, ECHO, and MR2 are not available from manufacturer.
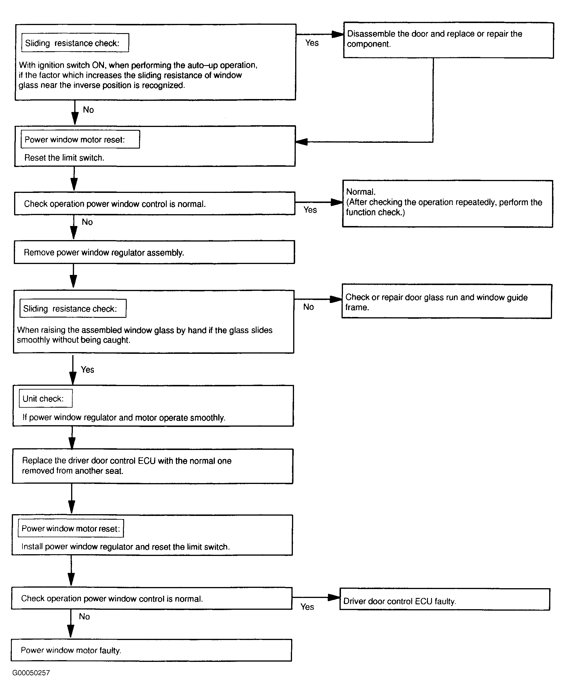
NOTE: Use illustration for trouble shooting procedures. See Figure - Figure .