LEMON Manuals: Even more car manuals for everyone: 1960-2025
Home >> Toyota >> 2002 >> Prius >> Repair and Diagnosis >> Suspension >> Wheel Alignment >> Wheel Alignment Specifications & Adjustment Procedures >> CAMRY >> Procedures >> Rear Wheel Alignment
April 5, 2026: LEMON Manuals is launched! Read the announcement.

Rear Wheel Alignment

  1. Inspect tire  .
  2. Measure vehicle height (see step   MEASURE VEHICLE HEIGHT  ).
    NOTE: Before inspecting the wheel alignment, adjust the vehicle height to the specified value.
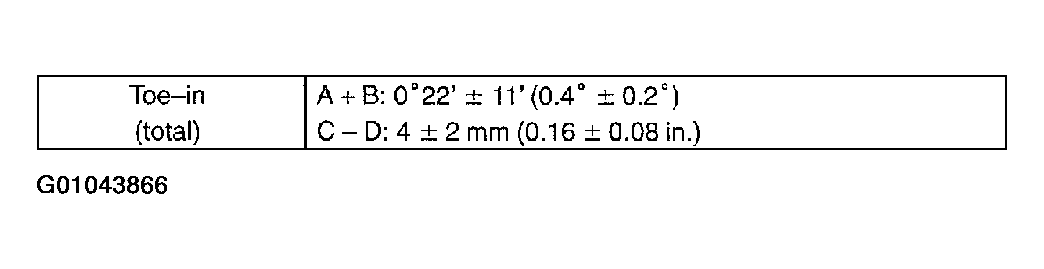
  3. Inspect toe-in  .
      Fig 1: Identifying Toe-In Measurements
      G01043867Courtesy of © TOYOTA, LICENSE AGREEMENT TMS1002
    1. Toe-in:
      Fig 2: Identifying Toe-In Equation Specifications
      G01043866Courtesy of © TOYOTA, LICENSE AGREEMENT TMS1002

      If the toe-in is not within the specified value, inspect and replace the suspension parts if necessary.

  4. Adjust toe-in  .
    1. Measure the lengths of the right and left No. 2 lower suspension arms.
        Fig 3: Measuring Rear Lower Suspension Arm Lengths
        G01043868Courtesy of © TOYOTA, LICENSE AGREEMENT TMS1002
      1. No. 2 lower suspension arm length difference: 1.0 mm (0.04 in.) or less 

      If the left-right difference is larger than 1.0 mm (0.04 in.), adjust it by following the procedures below.

    2. Loosen the lock nuts.
      Fig 4: Adjusting Rear Suspension Arm
      G01043869Courtesy of © TOYOTA, LICENSE AGREEMENT TMS1002
    3. Turn the right and left adjusting tube by an equal amount to adjust toe-in.
      NOTE:
      • Try to adjust the toe-in to the center value.
      • One turn of the each adjusting tube will adjust the toe-in by approximately 67' (1° 12', 10.8 mm, 0.425 in.).
    4. Torque the lock nut.
      1. Torque: 56 N.m (570 kgf.cm, 41 ft.lbf) 
    5. Inspect camber  .
      Fig 5: Identifying Camber Specifications
      G01043870Courtesy of © TOYOTA, LICENSE AGREEMENT TMS1002
      NOTE: Camber is not adjustable. If the measurement is not within the specification, inspect the suspension parts for damaged and/or worn-out parts and replace them if necessary.