LEMON Manuals: Even more car manuals for everyone: 1960-2025
Home >> Toyota >> 2004 >> Matrix Base, FWD, Automatic >> Repair and Diagnosis >> External Pages >> Different car >> Section 401 (Wireless Door Lock Control System) >> Wireless Door Lock Control System >> Pre-Check
April 5, 2026: LEMON Manuals is launched! Read the announcement.

Wireless Door Lock Control System: Pre-Check

WARNING: This page is about a different car, the 2002 Toyota Sequoia. However, it is still accessible from the selected car via links, so may be relevant.
Fig 1: Troubleshooting Flow Chart (1 Of 5)
G01896151Courtesy of © TOYOTA, LICENSE AGREEMENT TMS1002
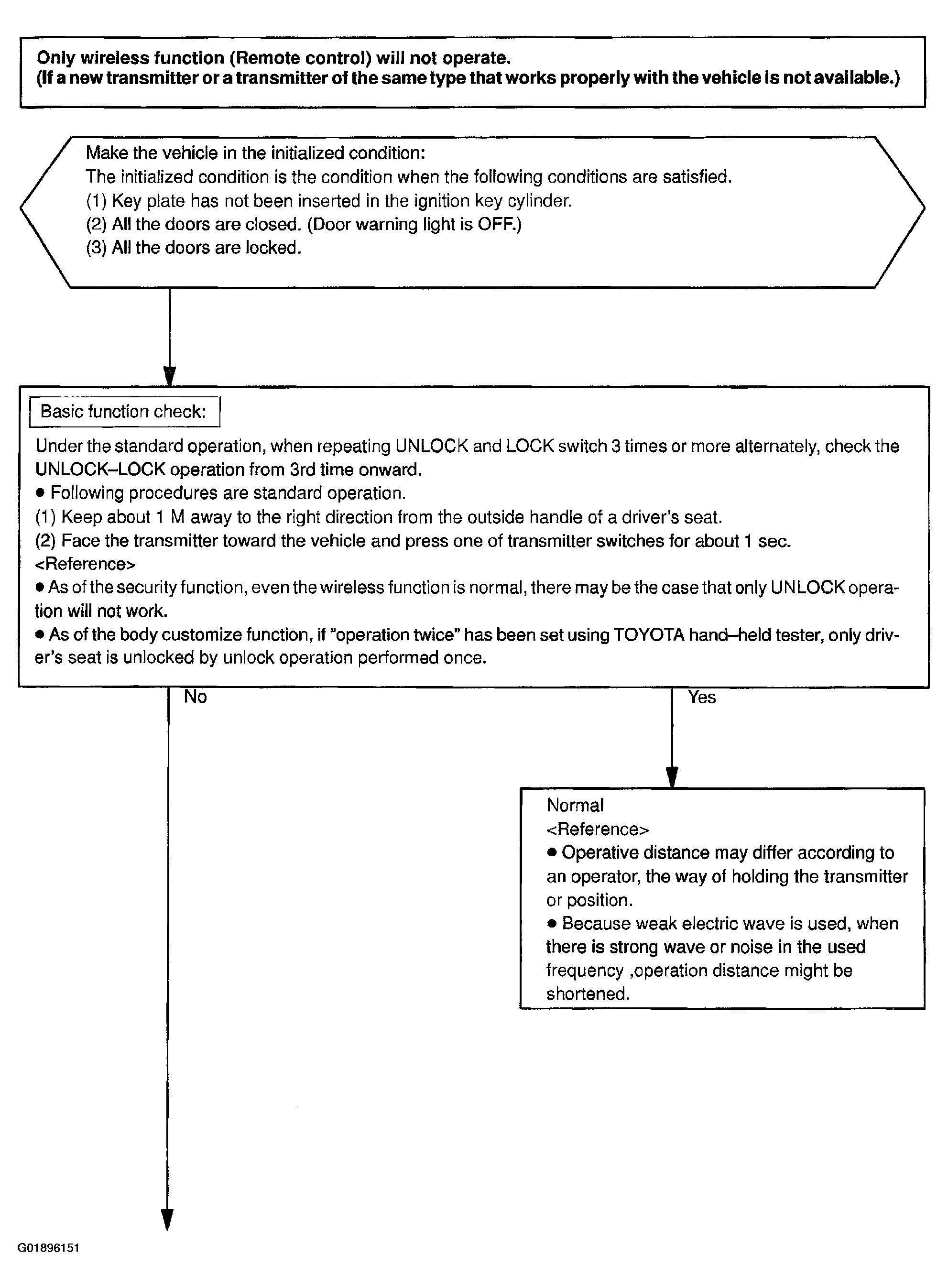
Fig 2: Troubleshooting Flow Chart (2 Of 5)
G01896152Courtesy of © TOYOTA, LICENSE AGREEMENT TMS1002
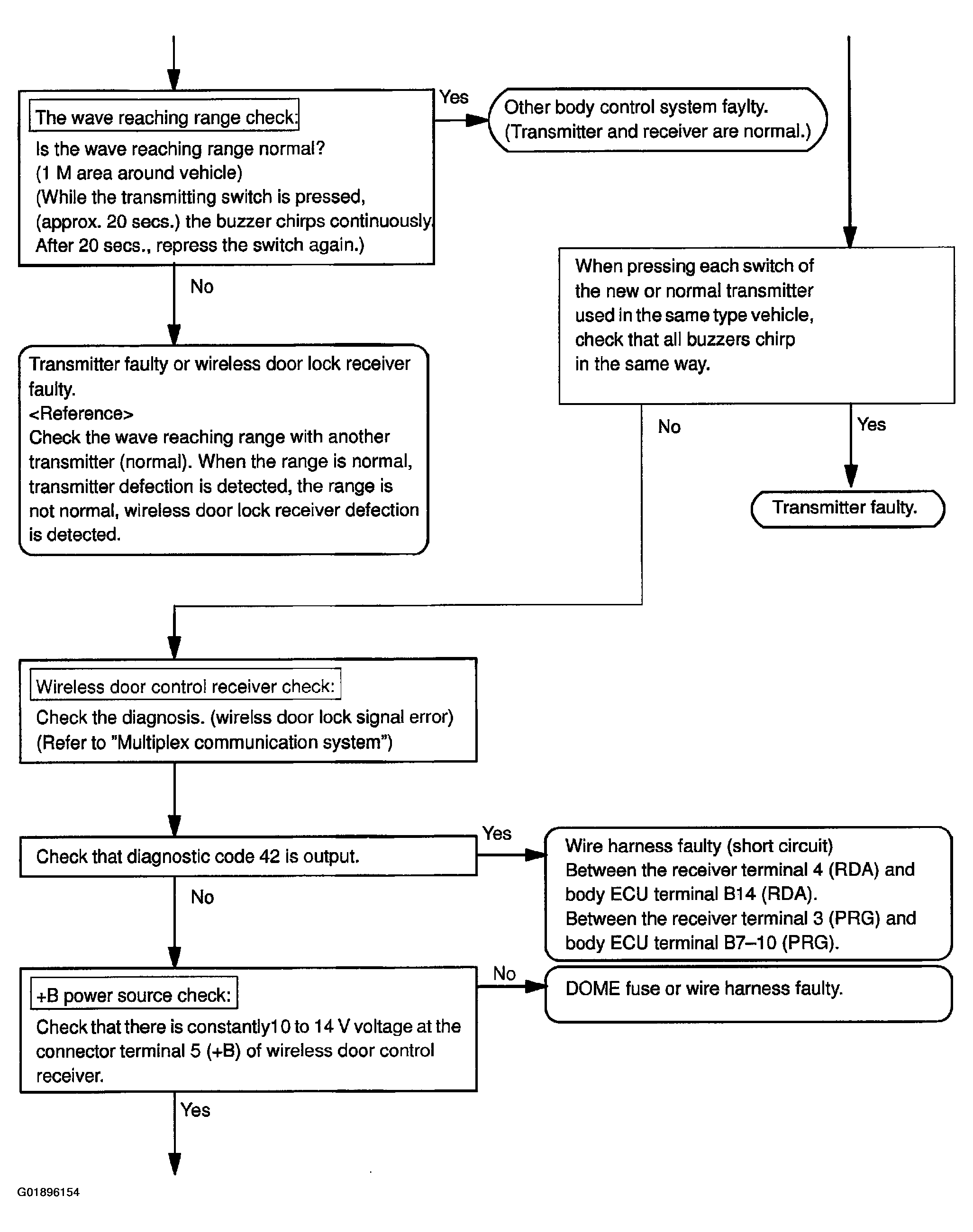
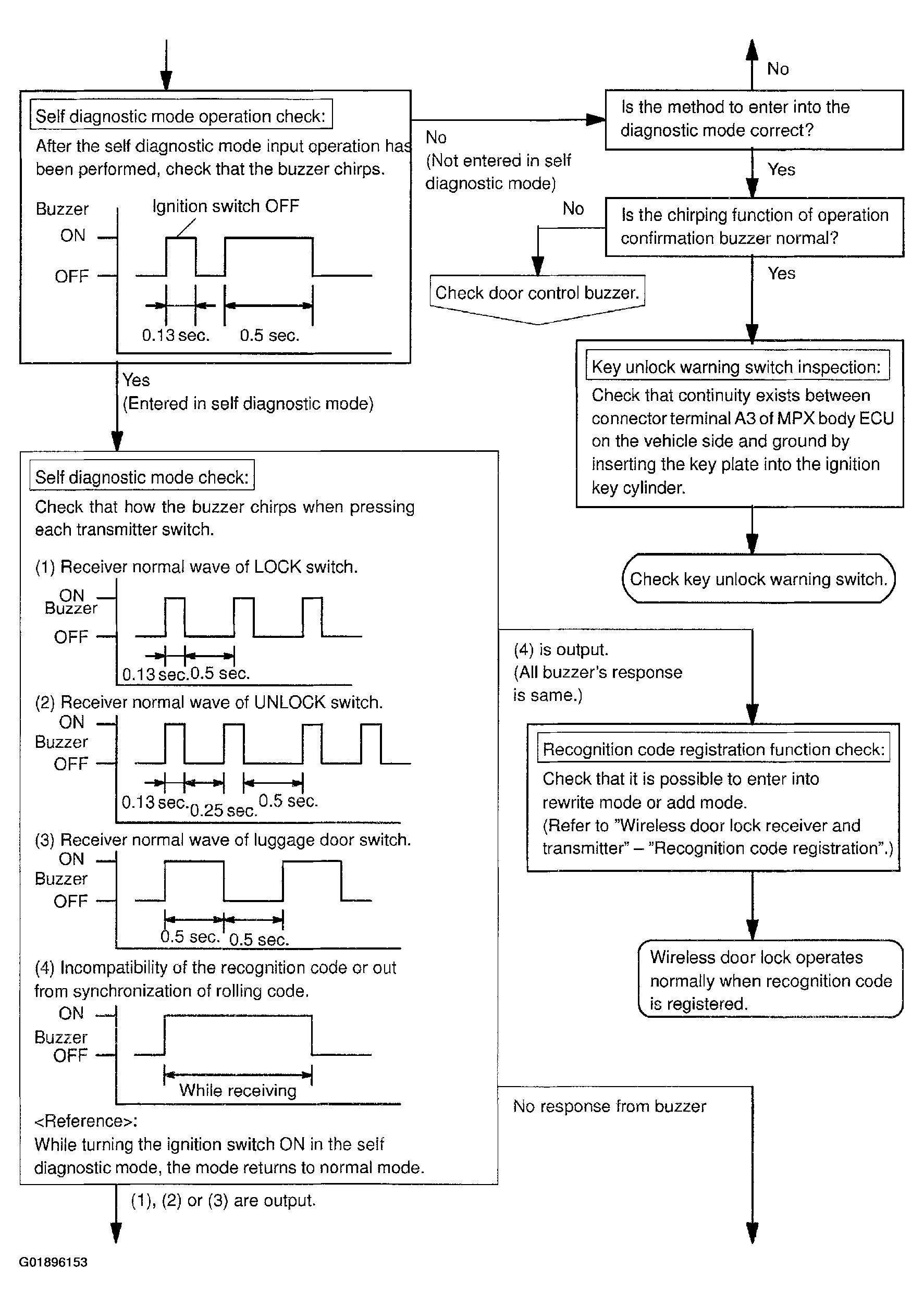
Fig 3: Troubleshooting Flow Chart (3 Of 5)
G01896153Courtesy of © TOYOTA, LICENSE AGREEMENT TMS1002
Fig 4: Troubleshooting Flow Chart (4 Of 5)
G01896154Courtesy of © TOYOTA, LICENSE AGREEMENT TMS1002
Fig 5: Troubleshooting Flow Chart (5 Of 5)
G01896155Courtesy of © TOYOTA, LICENSE AGREEMENT TMS1002