LEMON Manuals: Even more car manuals for everyone: 1960-2025
Home >> Toyota >> 2004 >> Matrix Base, FWD, Automatic >> Repair and Diagnosis >> External Pages >> Different car >> Section 401 (Wireless Door Lock Control System) >> Wireless Door Lock Control System >> Replacement >> Replace Door Control Receiver And Transmitter
April 5, 2026: LEMON Manuals is launched! Read the announcement.

Replace Door Control Receiver And Transmitter

WARNING: This page is about a different car, the 2002 Toyota Sequoia. However, it is still accessible from the selected car via links, so may be relevant.
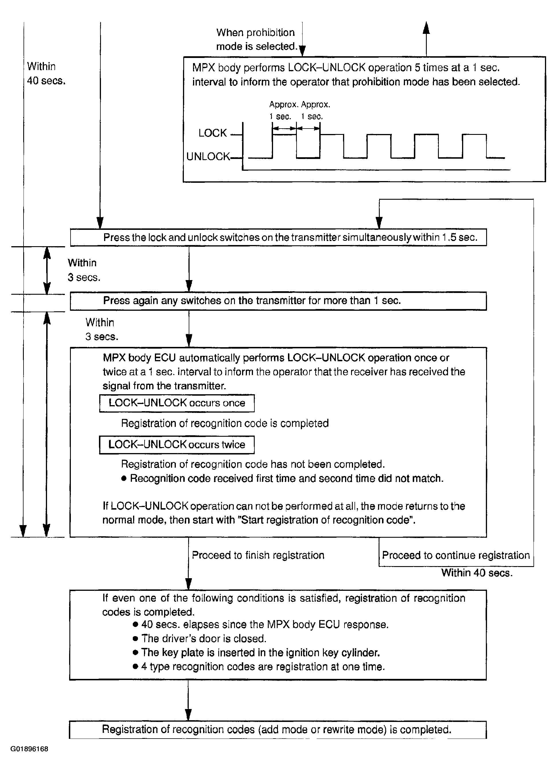
NOTE: When replacing the door control receiver and transmitter, registration of recognition code is necessary because they are provided as single components.
    NOTE:
    • The Add mode is used to retain codes already registered while you register new recognition codes. This mode is used when adding a transmitter. However, if the number of registered codes exceeds 4 codes, previously registered codes are correspondingly erased in order, starting from the first registered code.
    • The Rewrite mode is used to erase all previously registered codes and register only new recognition codes.
    • The Prohibition mode is used to erase all registered codes and cancels the wireless door lock function. Use this mode when the transmitter is lost.
    • The Confirmation mode is for confirming how many recognition codes are already registered before you register additional recognition codes.
  1. Select which operation mode should be performed from the following modes.
    • Add mode
    • Rewrite mode
    • Prohibition mode
    • Confirmation mode
  2. NOTE:
    • When procedure is out of the specified, the operation returns to normal operation.
    • Maximum 4 recognition codes can be registered.
    Fig 1: Transmitter Code Registration Procedure (1 Of 3)
    G01896166Courtesy of © TOYOTA, LICENSE AGREEMENT TMS1002
    Fig 2: Transmitter Code Registration Procedure (2 Of 3)
    G01896167Courtesy of © TOYOTA, LICENSE AGREEMENT TMS1002
    Fig 3: Transmitter Code Registration Procedure (3 Of 3)
    G01896168Courtesy of © TOYOTA, LICENSE AGREEMENT TMS1002
  3. Follow this procedure to register the transmitter recognition code at the wireless door lock control receiver.