LEMON Manuals: Even more car manuals for everyone: 1960-2025
Home >> Volvo >> 2010 >> C30 T-5, Automatic >> Repair and Diagnosis >> Engine Mechanical >> Fuel System >> Engine Control Module (ECM) And Quick Test Tank Systems - Specifications, Other >> Engine Control Module (ECM) (B5244S4; 2007-10) >> Description Of Reading Off Extended Diagnostic Trouble Code (DTC) Information >> Counters, Description
April 5, 2026: LEMON Manuals is launched! Read the announcement.

Counters, Description

Counter 
A useful fault-tracing tool is the Diagnostic Trouble Code (DTC) counter. The control module stores 6 different counters for each Diagnostic Trouble Code (DTC), which describes the occurrence. The counters can be used to determine when and how often a fault has been detected. Using the counters for the Diagnostic Trouble Code (DTC) it is possible to, see if the fault has only been registered during the current operating cycle or whether it has been detected previously.
If a fault is intermittent it is possible to determine how intermittent the fault is by studying the values of the different counters.
Example:
  • Counter 1 = 15 Counts the number of operating cycles since the fault was last validated.
  • Counter 3 = 69 Counts the number of operating cycles since the fault was first validated.
  • Counter 4 = 1 Counts how many times the fault has occurred since the first time the fault was first validated.
  • Counter 5 = 91764 The counter adds the time in seconds for which the control module has been operating since the fault was first validated and the diagnostic trouble code (DTC) was stored.
  • Counter 6 = 0 The counter adds the time in seconds for which the test, the diagnostic, has run since the fault was first validated and the diagnostic trouble code (DTC) was stored.
  • Counter 7 = 0 The counter adds the time in seconds for which the fault has been validated since the fault was first validated and the diagnostic trouble code (DTC) was stored.

In the examples given above, counter 1 gives the number of operating cycles where the diagnostic was run without a fault being detected. Counting takes place from when the fault was last detected. Counter 3 is the total number of operating cycles regardless of whether the diagnostic was run or not. Counter 4 shows the number of operating cycles where the diagnostic detected a fault. Counters 3 and 4 start to count from the first operating cycle after the operating cycle when the fault was first detected.
In the example, counter 4 = 1, which means that the fault was detected twice. One can, see that no fault was detected during the relevant operating cycle. Depending on the number of operating cycles and the customer's driving pattern, it can assist in ruling out this control module from the customer's current problems. The counters can help us understand how intermittent the fault can be. If the counters 1 = 0, 3 = 0 and 4 = 0 it indicates that there have not been any operating cycles since the fault was detected and that the fault was probably generated in the workshop.
For an operating cycle to be recognized certain requirements may be necessary, for example, increasing the engine coolant temperature. In certain cases ignition on, ignition off and ignition on again are counted as an operating cycle.
Counter 5 can be useful if the fault was detected in this operating cycle. The time can be used to determine more exactly when the fault occurred.
NOTE:

Not all counters need be implemented in a control module, this varies from system to system. The possible counters are described below.

Counter  Function 
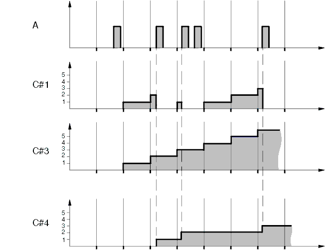
A (see the graph)
Counter 1
The graph shows the time at which a fault occurs. In the graphic, the control module has detected a fault in the second cycle. This fault has then occurred a total of 5 times. The counter can be read off for each diagnostic trouble code (DTC) in the control module in which this is implemented. Operating cycles are marked with vertical lines. An operating cycle usually begins at ignition on and finishes when the ignition is switched off.
C#1 (see the graph)
Counter 2
Counts the number of operating cycles since the fault was last  validated.
This information can be used to determine whether the fault is active during the current operating cycle or not.
The fault is present now if the value is zero.
This counter is also used for most systems to give "Permanent fault" and " Intermittent fault" text messages in VIDA when reading off a diagnostic trouble code (DTC).
C#3 (see the graph)
Counter 3
Counts the number of operating cycles since the fault was first  validated.
When a fault has been validated, the counter will count up by 1 for each subsequent operating cycle. The same as counter C#1 but monitors the number of cycles since the first fault occurred.
C#4 (see the graph)
Counter 4
Counts the number of operating cycles in which the fault was validated since it was first validated. Counts the number of times the fault has occurred since the first time.
C#5
Counter 5
The counter assesses the number of seconds the control module has been operating since the fault was first validated and the diagnostic trouble code (DTC) was stored.
The time the control module has been operating is only counted when it is active, not in "sleep mode".
C#6
Counter 6
The counter assesses the number of seconds the test (the diagnosis) has been operating since the fault was first validated and the diagnostic trouble code (DTC) was stored.
C#7
Counter 7
The counter assesses the number of seconds the fault has been valid since it was first validated and the diagnostic trouble code (DTC) was stored.
Fig 1: Diagnostic Trouble Code (DTC) Counter Graph
GLL101086Courtesy of VOLVO CARS CORPORATION