LEMON Manuals: Even more car manuals for everyone: 1960-2025
Home >> Honda >> 2021 >> Insight EX >> Repair and Diagnosis >> Body & Frame >> Door Locks >> Security System / Keyless Entry System - Testing & Troubleshooting >> System Description >> Keyless/Power Door Locks/Security - System Diagram
April 5, 2026: LEMON Manuals is launched! Read the announcement.

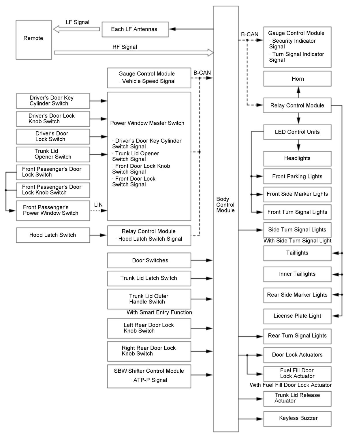
Keyless/Power Door Locks/Security - System Diagram

For locations of each component on the vehicle, refer to the Component Location Index .

GHH387955Courtesy of HONDA, U.S.A., INC.